协会简介
  • 协会章程
  • 协会领导
  • 2026年第一批次职业技能等级认定评价成绩公示
    2026-03-31 13:50:21

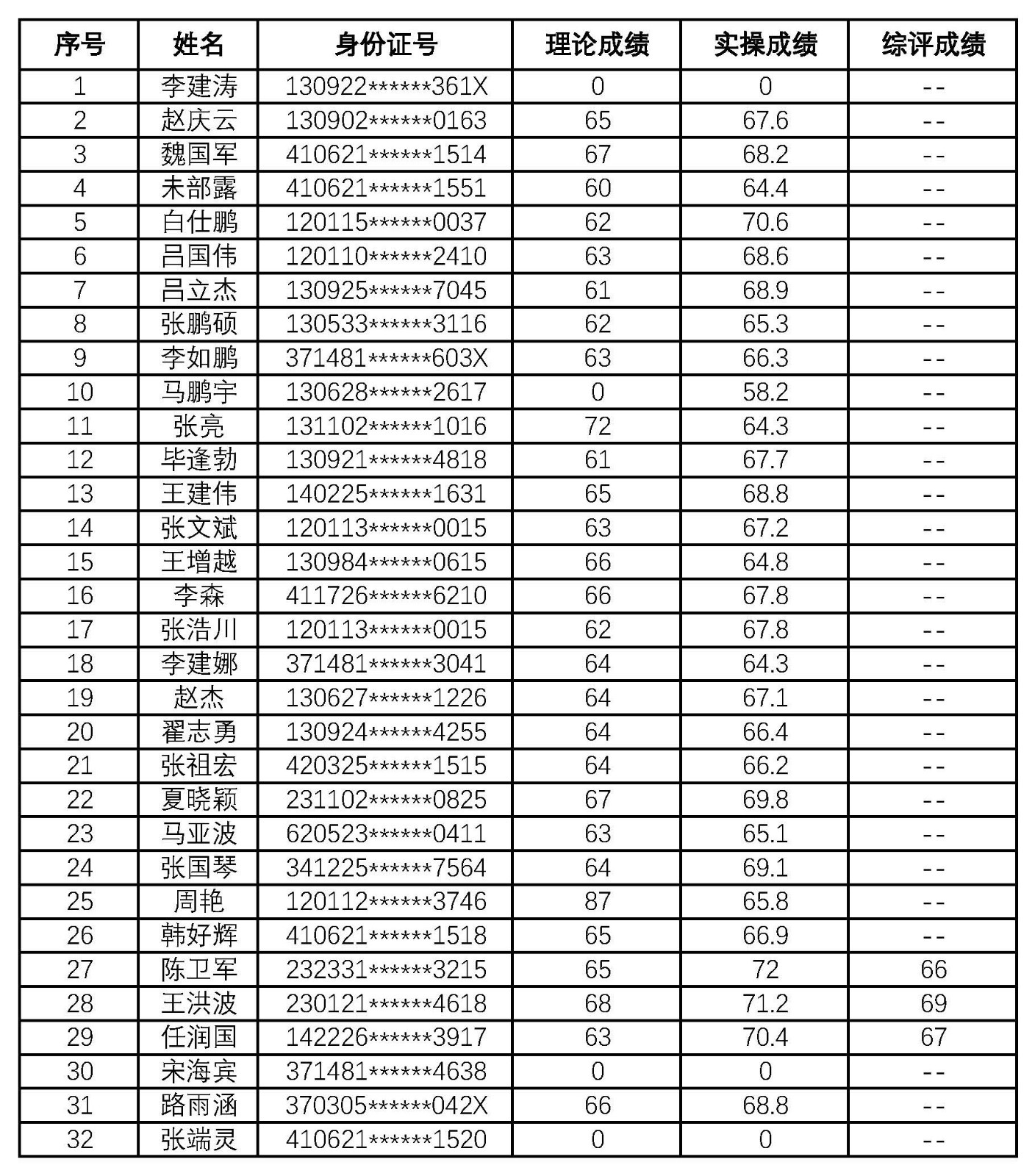
    根据《天津市职业技能等级认定工作管理办法》(津人社局发〔2023〕17号)文件规定,现对2026年3月27日汽车维修工职业技能等级认定评价成绩进行公示。

    公示时间:2026年3月31日—2026年4月8日

    如有异议,请拨打评价机构电话:022-83711227、13752157516申请复核。

    公示成绩 20260327.jpg

    天津市汽车维修检测行业协会

    2026年3月31日


    返回